PLACEZ VOS PRODUITS ICI
CONTACTEZ [email protected]

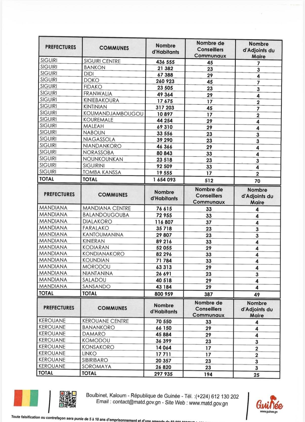
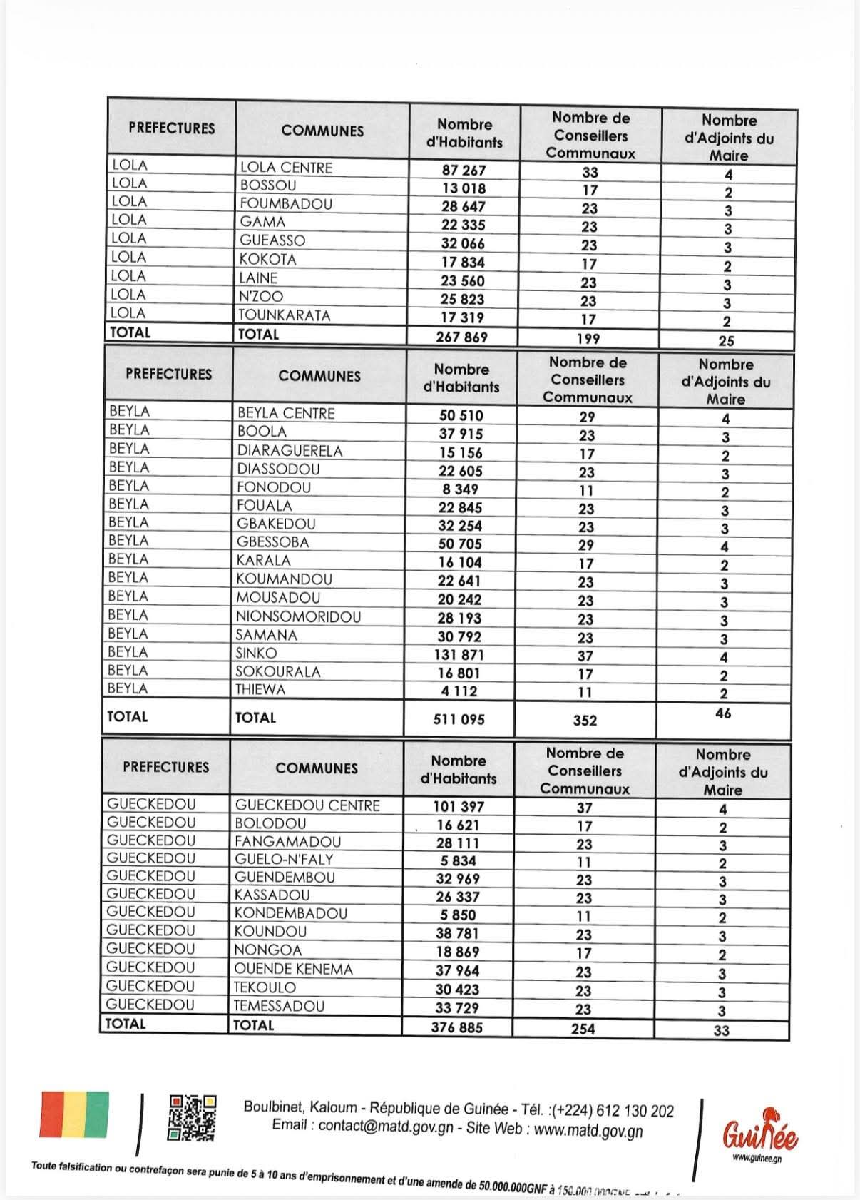
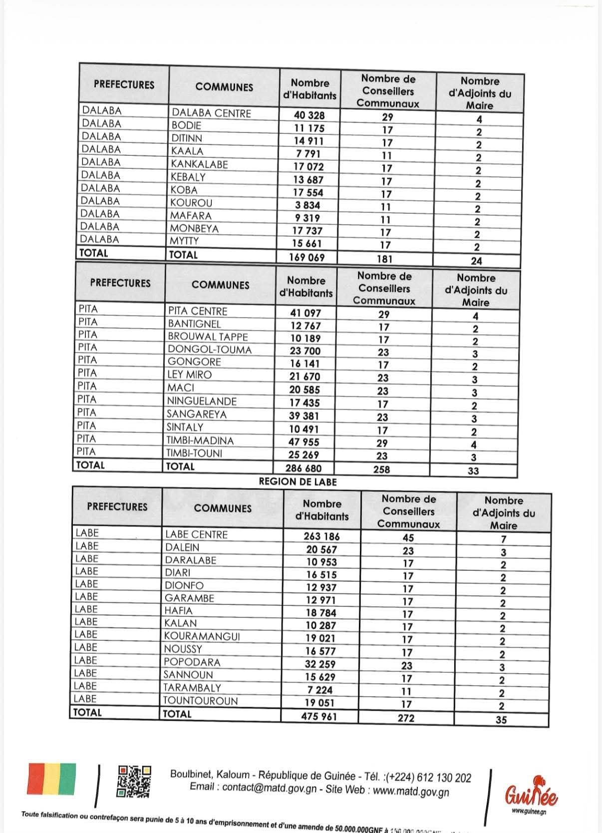
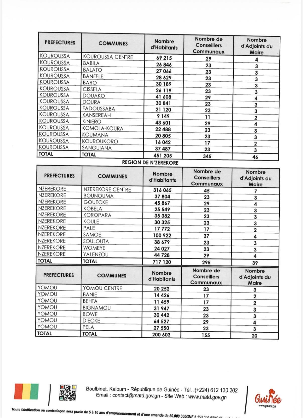
À l’approche des élections législatives couplées aux communales prévues le 24 mai 2026, le ministère de l’Administration du territoire et de la Décentralisation a fixé le nombre de conseillers à élire dans chaque commune.
Cette répartition est établie conformément aux dispositions de l’article 231 du Code électoral, qui détermine la composition des conseils communaux en fonction de la taille de la population.
Selon la règle fixée par le département en charge de l’Administration du territoire, le nombre de membres du Conseil communal se présente comme suit :
11 conseillers pour les communes de moins de 10 000 habitants ;
17 conseillers pour les communes comptant entre 10 000 et 20 000 habitants ;
23 conseillers pour celles de 20 001 à 40 000 habitants ;
29 conseillers pour les communes de 40 001 à 70 000 habitants ;
33 conseillers pour celles de 70 001 à 100 000 habitants ;
37 conseillers pour les communes de 100 001 à 150 000 habitants ;
41 conseillers pour celles de 150 001 à 200 000 habitants ;
45 conseillers pour les communes de plus de 200 000 habitants.

Screenshot
Screenshot
Screenshot
Screenshot
Screenshot
Screenshot
Screenshot
Screenshot
Screenshot
Screenshot
Screenshot
ScreenshotL’article Élections communales 2026 en Guinée : voici le nombre de conseillers à élire par commune est apparu en premier sur Guinee360 - Actualité en Guinée, Politique, Économie, Sport.
.png)
il y a 1 mois
73




















English (US) ·